Loading timer

LTSV-LTA Home > Image Search > Image View

Image
File Information
File ID: 19001
Type:
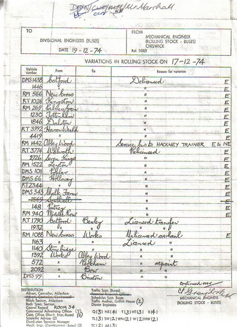
Title: Daily Statement of Finishing Line Output - Aldenham - 17th December 1974
Year:
Month:
Quality: Low (413x584px)
Added: 12/03/2020
Notes:

Downloads

Single download: To download this file, right-click on the image and select 'Save Image As...'

Bulk download: To download a ZIP file containing this and other related documents, use the link below (where available).
Daily Statement of Finishing Line Output 1974 (238 files, 6.3Mb)

Image Image Image Image Image Image Image Image Image