Loading timer

LTSV-LTA Home > Image Search > Image View

Image
File Information
File ID: 26255
Type:
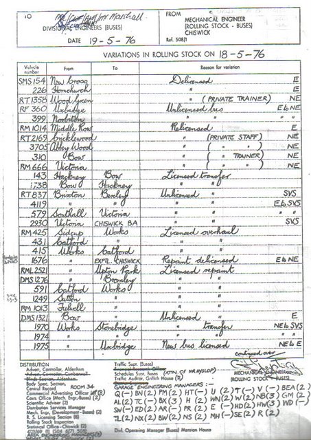
Title: LCBS Memo ref Schedule Variations deferred from 15th May to 22nd May, dated 18th May 1976
Year:
Month:
Quality: Low (453x640px)
Added: 28/04/2020
Notes:

Downloads

Single download: To download this file, right-click on the image and select 'Save Image As...'

Bulk download: To download a ZIP file containing this and other related documents, use the link below (where available).
LCBS Memorandums 1976 (47 files, 1.8Mb)

Image Image Image Image Image Image Image Image Image