Loading timer

LTSV-LTA Home > Image Search > Image View

Image
File Information
File ID: 30069
Type:
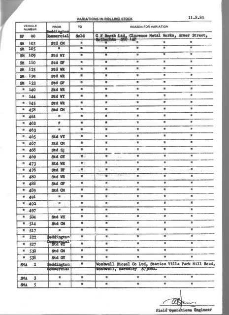
Title: LCBS Variations in Rolling Stock week ending 11th August 1981, page 4 of 4
Year:
Month:
Quality: Low (465x640px)
Added: 04/09/2020
Notes:

Downloads

Single download: To download this file, right-click on the image and select 'Save Image As...'

Bulk download: To download a ZIP file containing this and other related documents, use the link below (where available).
LCBS Variations in Rolling Stock 1981 (65 files, 4.0Mb)

Image Image Image Image Image Image Image Image Image