
 
| File Information | |
| File ID: | 30544 | 
| Type: | |
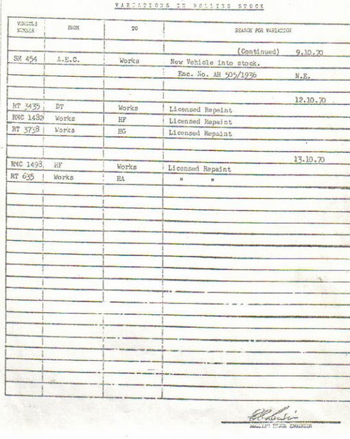
| Title: | Buses Overhauled and Delivered on 12th October 1970 | 
| Year: | |
| Month: | |
| Quality: | Low (369x382px) | 
| Added: | 04/09/2020 | 
| Notes: | |
| Downloads Single download: To download this file, right-click on the image and select 'Save Image As...' Bulk download: To download a ZIP file containing this and other related documents, use the link below (where available). Buses Overhauled and Delivered 1970 (241 files, 15.6Mb) | |