
| File Information | |
| File ID: | 34422 |
| Type: | |
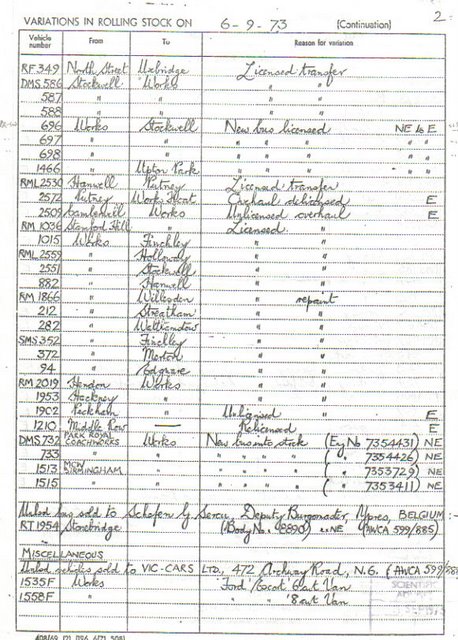
| Title: | Overhauls 73/2 (buses for overhaul 26th Sep to 30th Oct 1973), 5th September 1973, page 2 of 3 |
| Year: | |
| Month: | |
| Quality: | Low (466x640px) |
| Added: | 03/11/2020 |
| Notes: | |
Downloads Single download: To download this file, right-click on the image and select 'Save Image As...' Bulk download: To download a ZIP file containing this and other related documents, use the link below (where available). Overhauls 1973 (45 files, 3.8Mb) |
|