Loading timer

LTSV-LTA Home > Image Search > Image View

Image
File Information
File ID: 37592
Type:
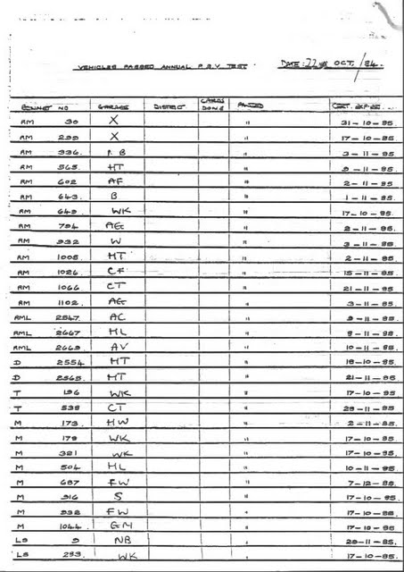
Title: Inspection Report 22nd October 1984 (with 14th September 1984 added)
Year:
Month:
Quality: Low (640x355px)
Added: 30/11/2020
Notes: Two different reports on one sheet, reasons unknown. Filed here under both dates for convenience

Downloads

Single download: To download this file, right-click on the image and select 'Save Image As...'

Bulk download: To download a ZIP file containing this and other related documents, use the link below (where available).
Rolling Stock Inspection Reports 1984 (174 files, 12.9Mb)

Image Image Image Image Image Image Image Image Image