Loading timer

LTSV-LTA Home > Image Search > Image View

Image
File Information
File ID: 5368
Type:
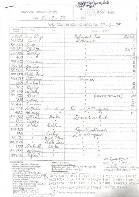
Title: Variations in Rolling Stock on 24th September 1975
Year:
Month:
Quality: Low (453x640px)
Added: 20/12/2019
Notes:

Downloads

Single download: To download this file, right-click on the image and select 'Save Image As...'

Bulk download: To download a ZIP file containing this and other related documents, use the link below (where available).
Variations in Rolling Stock 1975 (513 files, 41.2Mb)

Image Image Image Image Image Image Image Image Image