Loading timer

LTSV-LTA Home > Image Search > Image View

Image
File Information
File ID: 5394
Type:
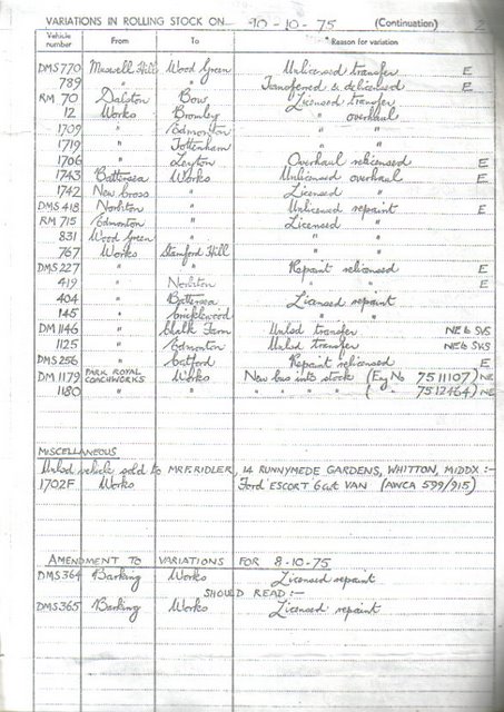
Title: Memo ref Vehicle Transfers for Night of 10th October 1975, page 1 of 2
Year:
Month:
Quality: Low (465x640px)
Added: 20/12/2019
Notes:

Downloads

Single download: To download this file, right-click on the image and select 'Save Image As...'

Bulk download: To download a ZIP file containing this and other related documents, use the link below (where available).
Memorandums 1975 (58 files, 3.6Mb)

Image Image Image Image Image Image Image Image Image