
| File Information | |
| File ID: | 5461 |
| Type: | |
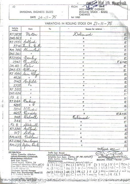
| Title: | Variations in Rolling Stock on 20th November 1975, page 1 of 2 |
| Year: | |
| Month: | |
| Quality: | Low (453x640px) |
| Added: | 20/12/2019 |
| Notes: | |
Downloads Single download: To download this file, right-click on the image and select 'Save Image As...' Bulk download: To download a ZIP file containing this and other related documents, use the link below (where available). Variations in Rolling Stock 1975 (513 files, 41.2Mb) |
|