Loading timer

LTSV-LTA Home > Image Search > Image View

Image
File Information
File ID: 6027
Type:
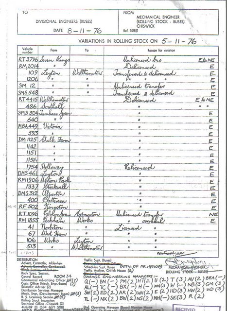
Title: Memo ref Vehicle Transfers for 6th November 1976, page 2 of 2
Year:
Month:
Quality: Low (593x362px)
Added: 21/12/2019
Notes:

Downloads

Single download: To download this file, right-click on the image and select 'Save Image As...'

Bulk download: To download a ZIP file containing this and other related documents, use the link below (where available).
Memorandums 1976 (51 files, 3.0Mb)

Image Image Image Image Image Image Image Image Image