Loading timer

LTSV-LTA Home > Image Search > Image View

Image
File Information
File ID: 9011
Type:
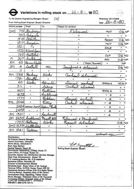
Title: Variations in Rolling Stock on 21st August 1980, page 2 of 2
Year:
Month:
Quality: Low (453x640px)
Added: 24/01/2020
Notes:

Downloads

Single download: To download this file, right-click on the image and select 'Save Image As...'

Bulk download: To download a ZIP file containing this and other related documents, use the link below (where available).
Variations in Rolling Stock 1980 (491 files, 29.5Mb)

Image Image Image Image Image Image Image Image Image