Loading timer

LTSV-LTA Home > Image Search > Image View

Image
File Information
File ID: 32777
Type:
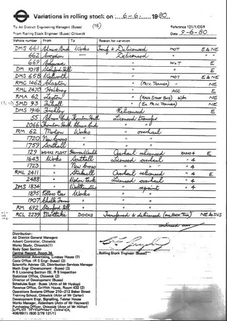
Title: Buses Overhauled and Delivered on 6th June 1980
Year:
Month:
Quality: Low (337x495px)
Added: 06/09/2020
Notes:

Downloads

Single download: To download this file, right-click on the image and select 'Save Image As...'

Bulk download: To download a ZIP file containing this and other related documents, use the link below (where available).
Buses Overhauled and Delivered 1980 (246 files, 24.2Mb)

Image Image Image Image Image Image Image Image Image