Loading timer

LTSV-LTA Home > Image Search > Image View

Image
File Information
File ID: 8870
Type:
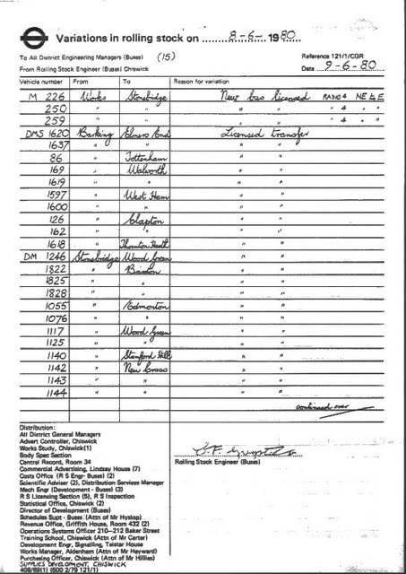
Title: Memo ref Bus Transfers for 7th June 1980, page 1 of 2
Year:
Month:
Quality: Low (453x640px)
Added: 13/01/2020
Notes:

Downloads

Single download: To download this file, right-click on the image and select 'Save Image As...'

Bulk download: To download a ZIP file containing this and other related documents, use the link below (where available).
Memorandums 1980 (102 files, 4.4Mb)

Image Image Image Image Image Image Image Image Image